About This Item

Share This Item

The AAPG/Datapages Combined Publications Database

Journal of Sedimentary Research (SEPM)

Abstract


Journal of Sedimentary Research
Vol. 95 (2025), No. 6. (December), Pages 1154-1173
https://doi.org/10.2110/jsr.2024.136

Quantifying modification of coarse-sand-particle shape by fluvial transport

Isidoro Campaña, Alfonso Benito-Calvo, Lucía Bermejo, Leticia Miguens, Javier Iglesias-Cibanal, Alejandro Granados, Antonio Guerra-Merchán

Abstract

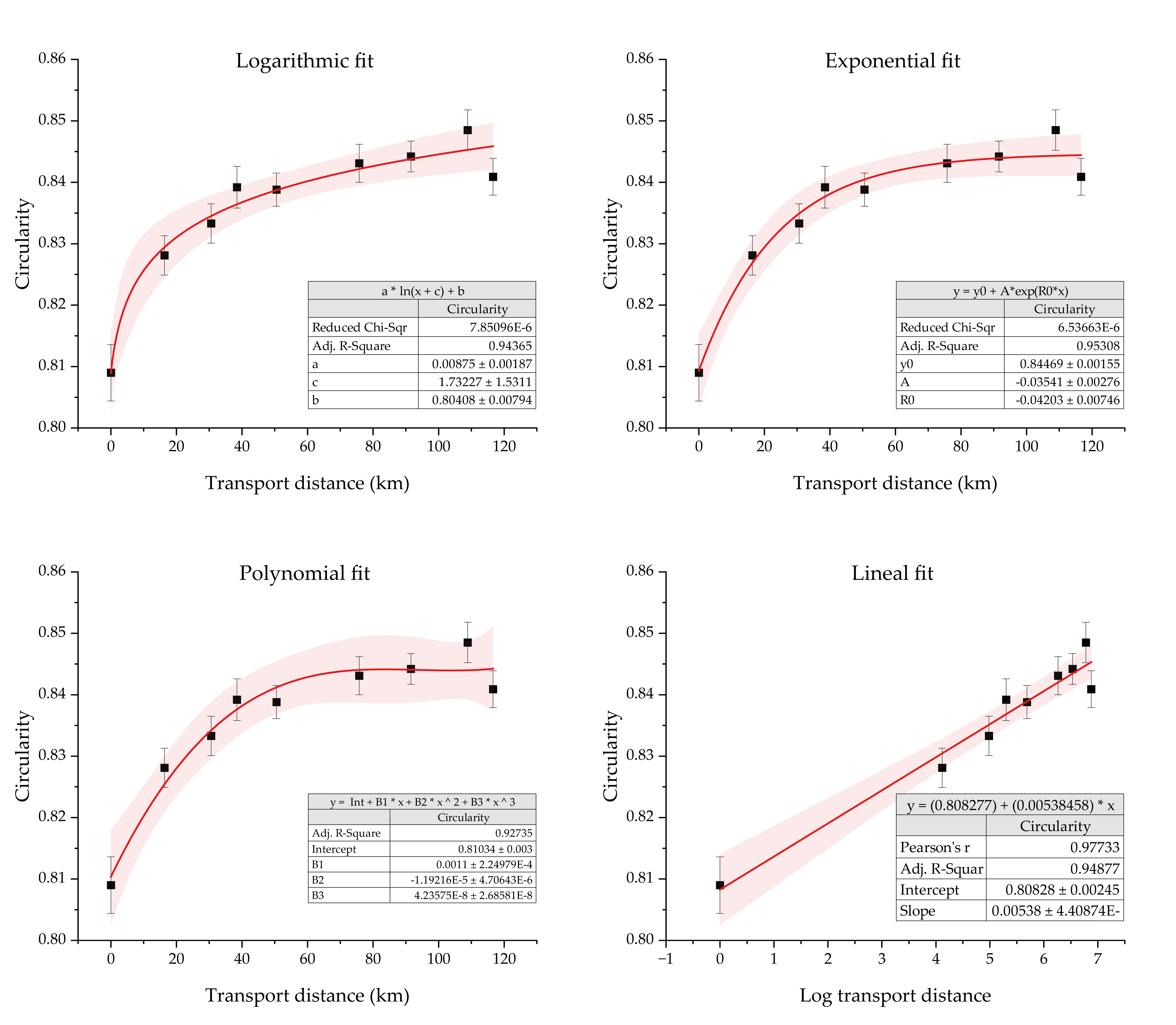
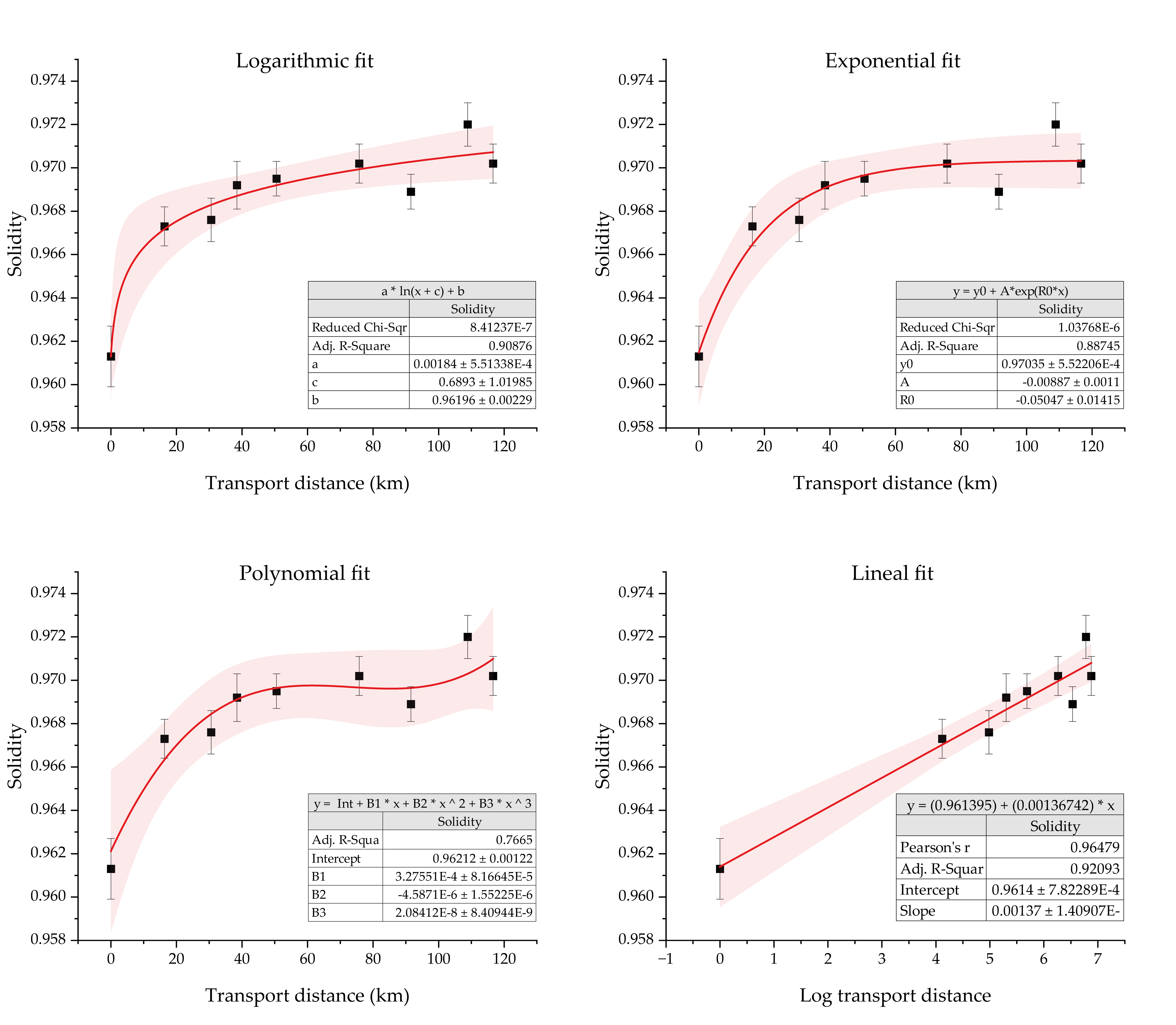
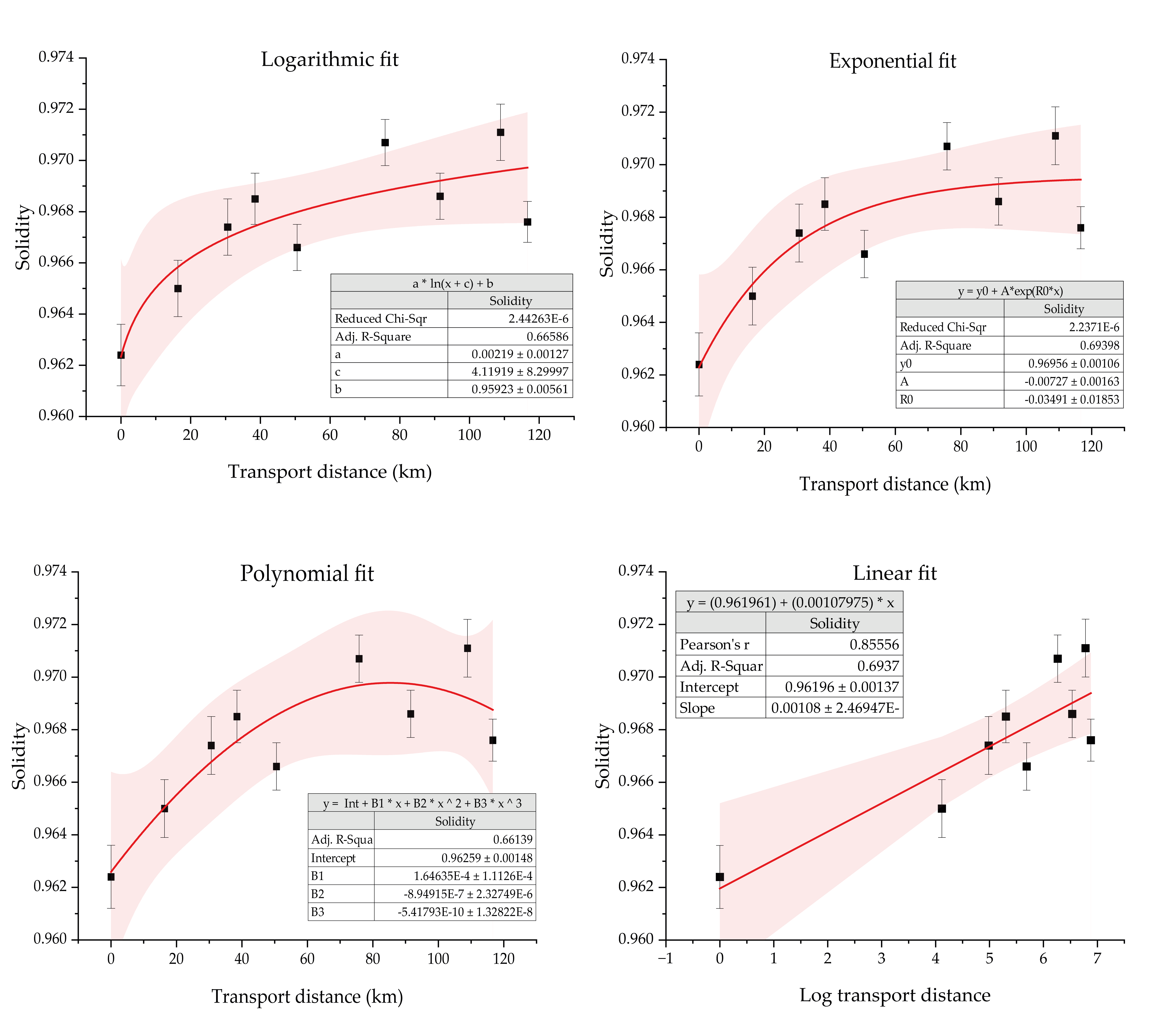
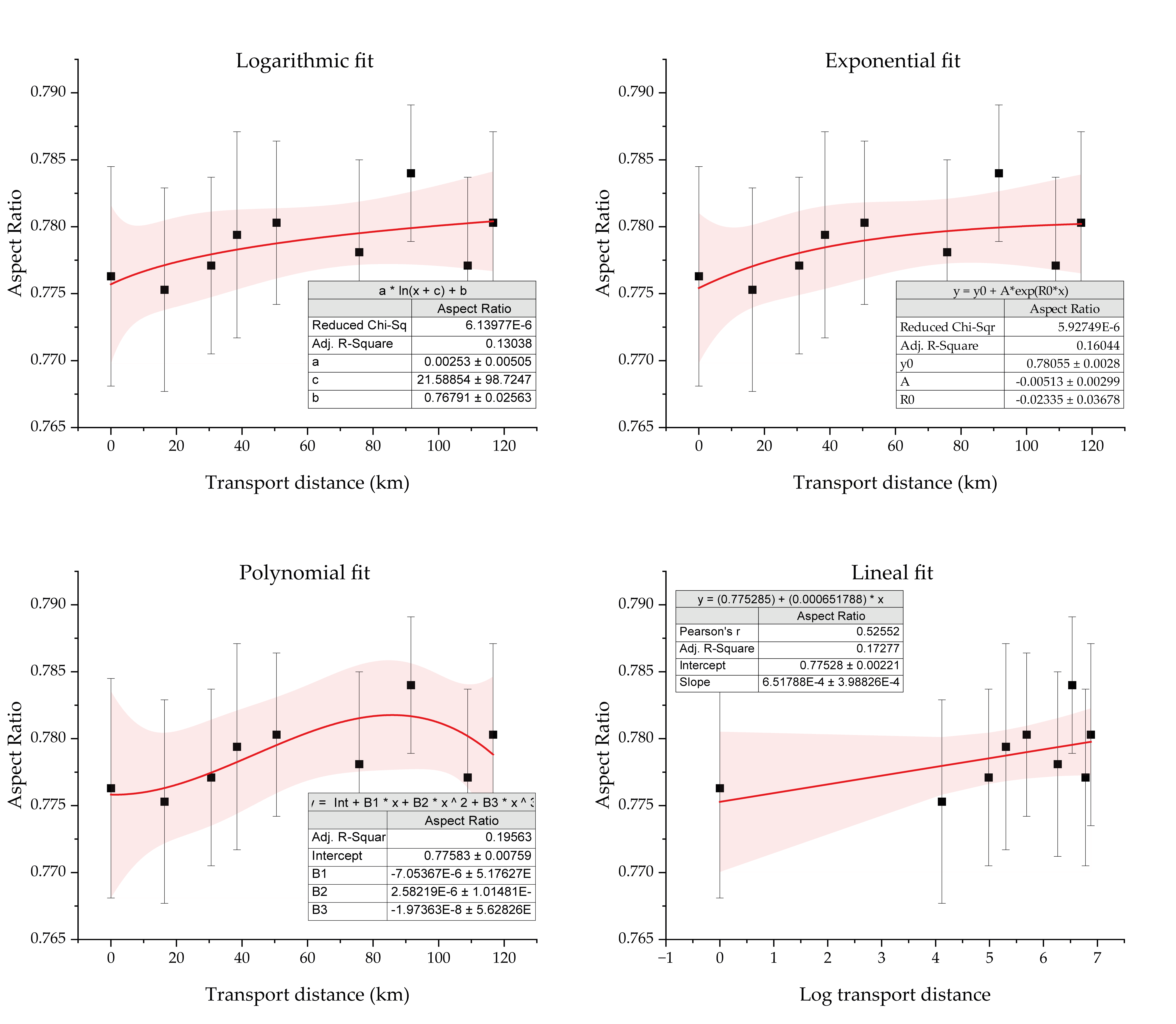
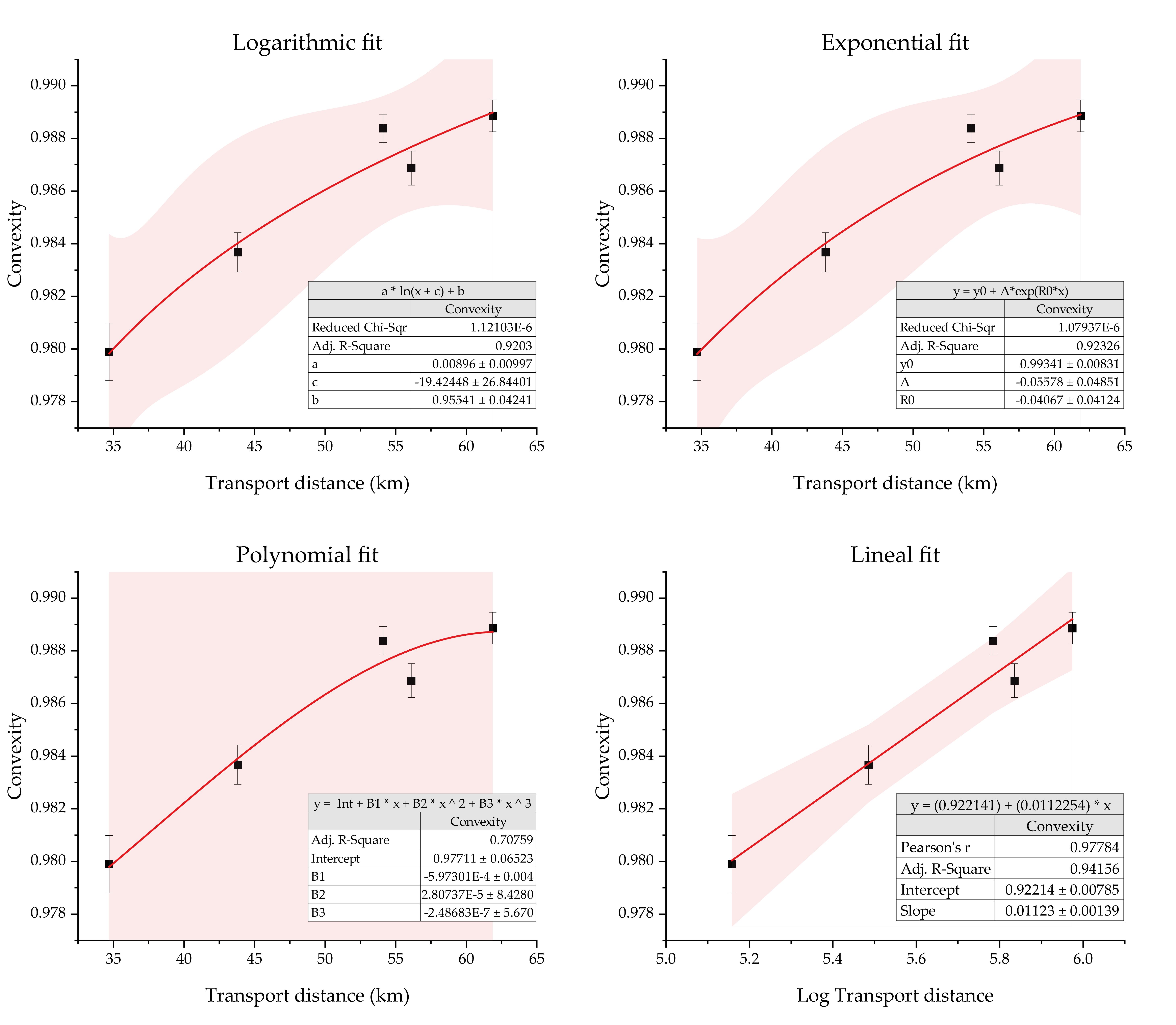
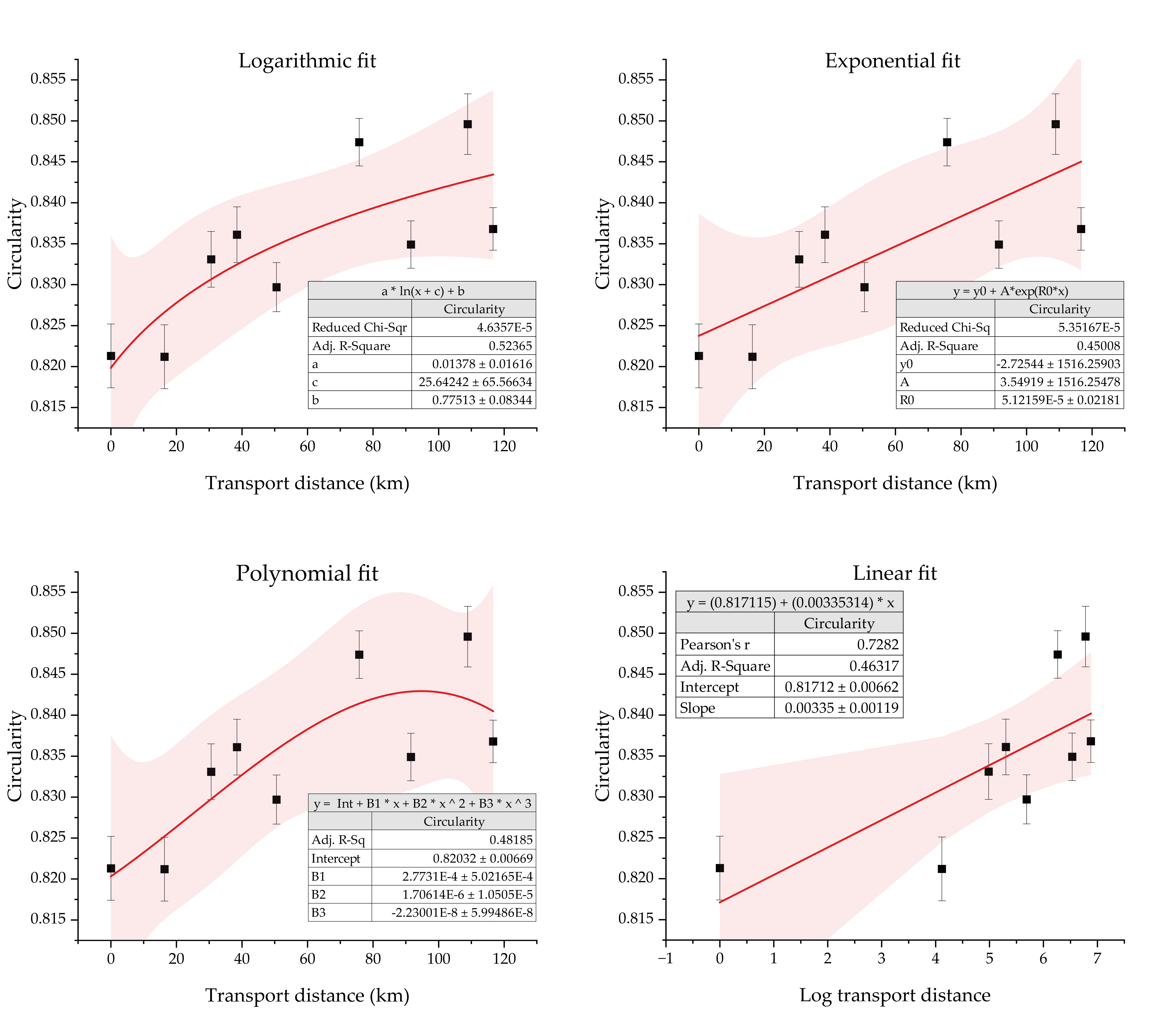
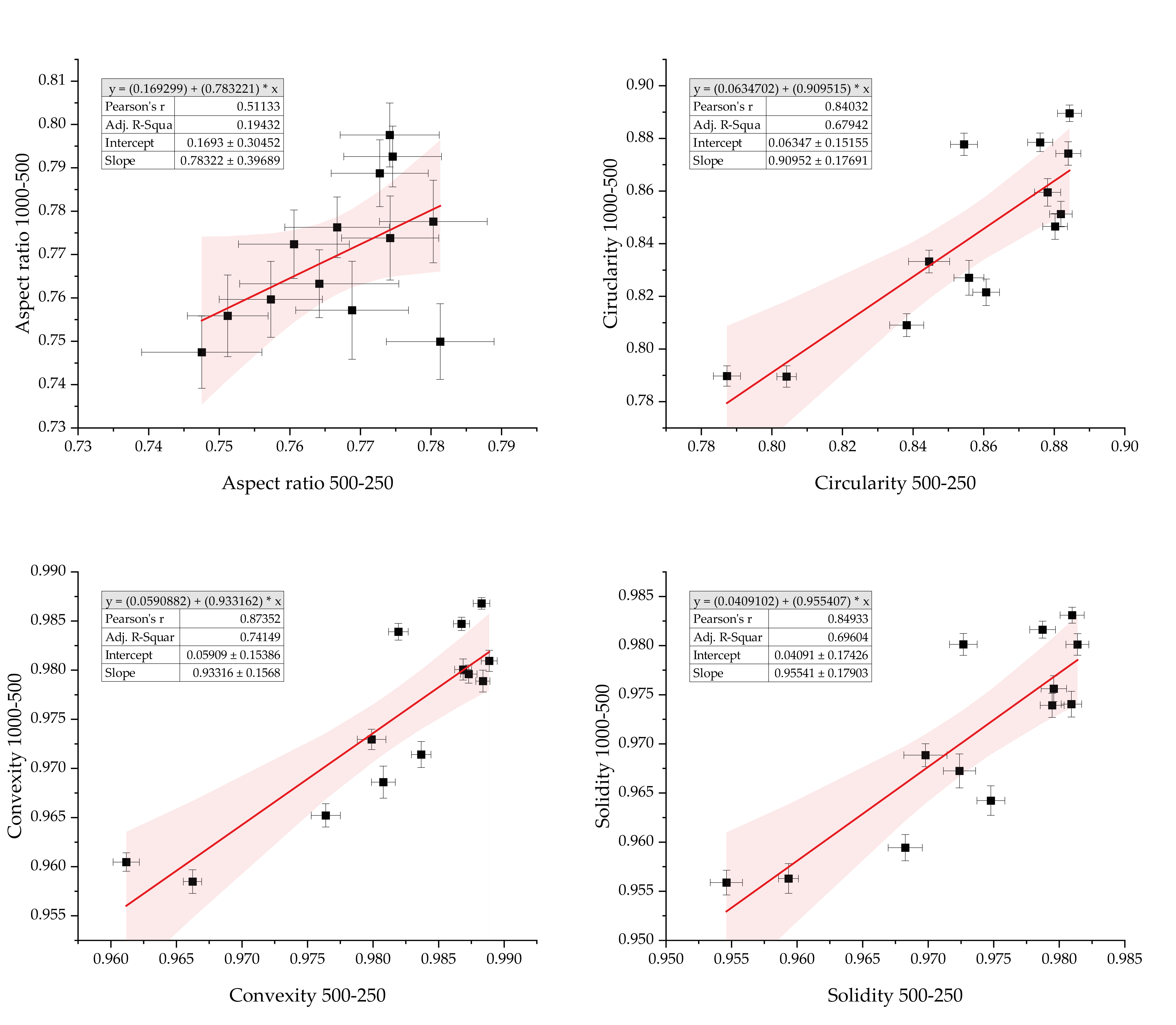
Rivers significantly shape landscapes through erosion, transport, and deposition of sediment. Studying stream-channel evolution through its sediment deposits helps us understand landscape changes and infer past environmental and climatic conditions. Fluvial transport causes rounding of the transported sand by a process known as abrasion. Therefore, the external morphology of particles indicates the sedimentary environment and sediment maturity, which can reveal transport distances. While gravel and pebbles have been studied extensively, research on rounding of sand particles is limited due to slower and less effective rounding in water and the difficulty of measuring a representative sand population.

In this work, we use automated image analysis to study how fluvial transport affects sand morphology. By sampling quartz sand from various points along the Arlanzón and Guadalhorce rivers, we aim to develop models for sediment transport distances.

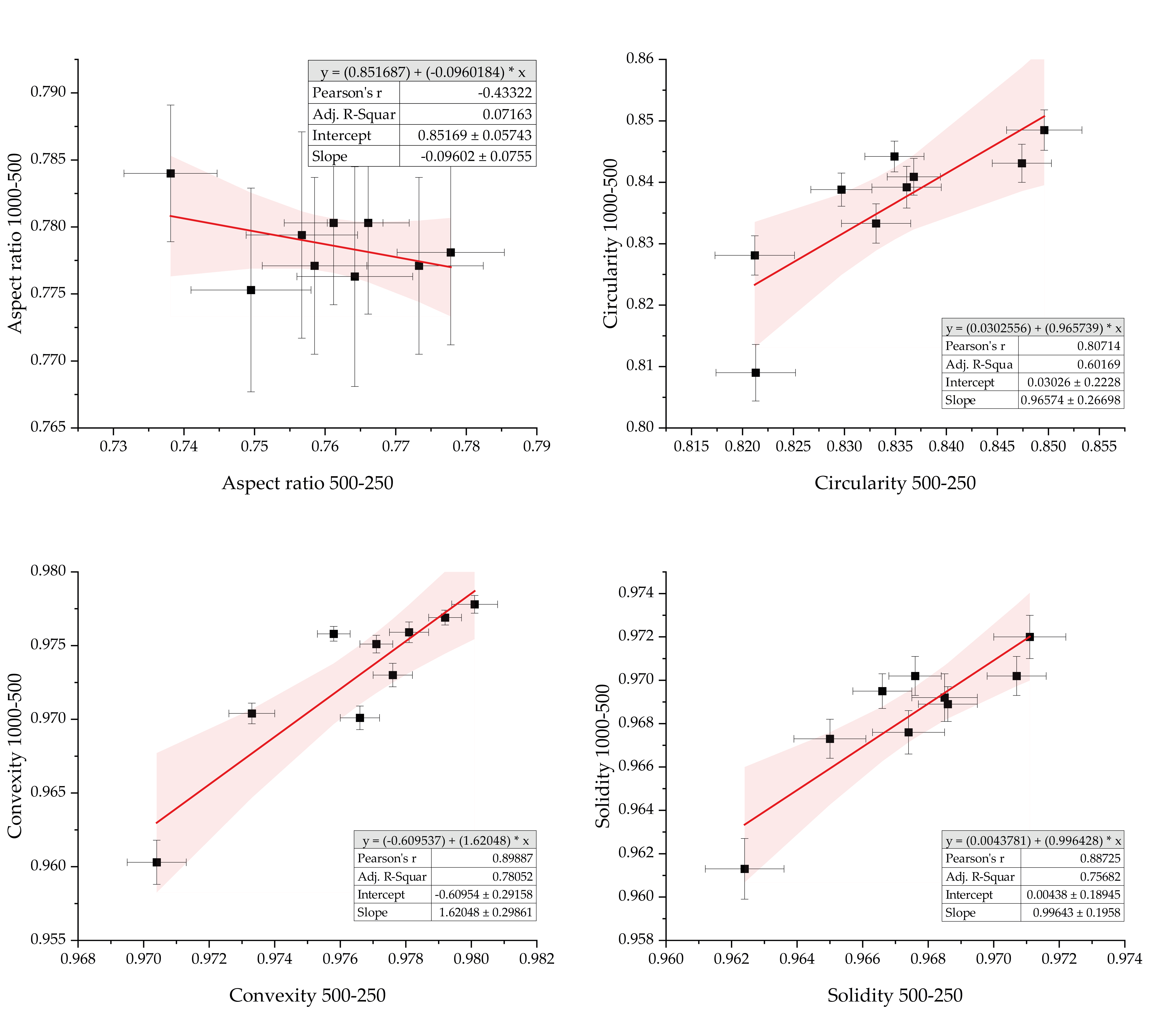
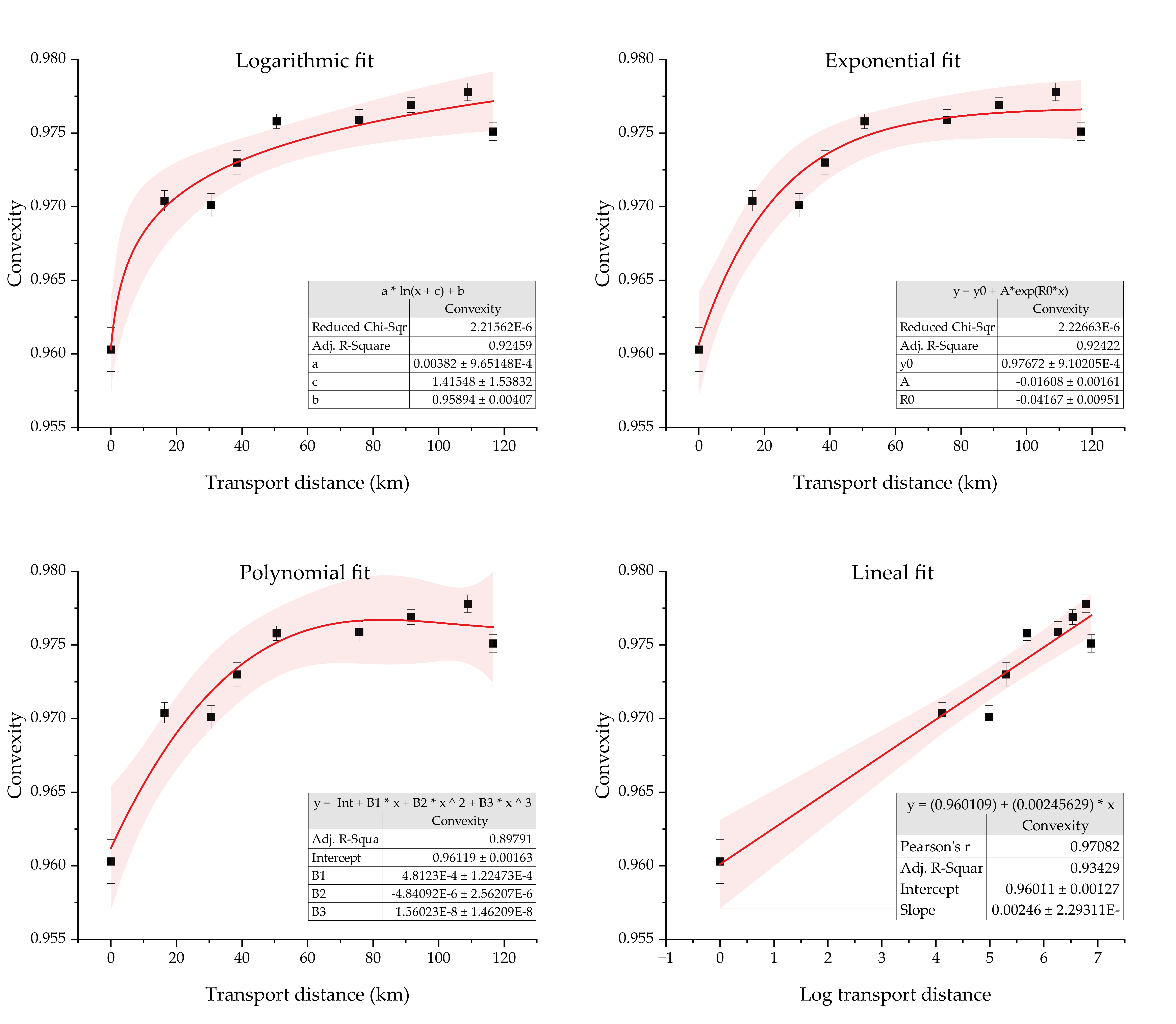
Our results indicate that the shape modification of quartz sand particles by fluvial transport is quantifiable and has a logarithmic relationship. The best shape parameters to quantify the transport distance of a particle of quartz are independent of the form (the main axes of the particle: length, width and thickness), such as convexity and solidity. In fact, our results suggest that the form of a particle of quartz depends mostly on the original form and not on the sedimentary transport. The logarithmic and linear fits using a logarithmic distance scale provide the best results for explaining changes in particle shape over long distances. These models can be used in future research to estimate distances of fluvial sediment transport from current and past fluvial sediments.


Pay-Per-View Purchase Options

The article is available through a document delivery service. Explain these Purchase Options.

Watermarked PDF Document: $16
Open PDF Document: $28